Resumen
Antecedentes:
La enfermedad por coronavirus 2019 (COVID-19) se asocia con daño pulmonar difuso. Los corticosteroides pueden modular la lesión pulmonar inmunomediada y reducir la progresión a insuficiencia respiratoria y muerte.
Métodos:
El ensayo de evaluación aleatorizada de la terapia COVID-19 (RECUPERACIÓN) es un ensayo aleatorizado, controlado, abierto, adaptable, de plataforma que compara una gama de posibles tratamientos con la atención habitual en pacientes hospitalizados con COVID-19.
Informamos los resultados preliminares para la comparación de dexametasona 6 mg administrados una vez al día durante un máximo de diez días versus la atención habitual sola. El resultado primario fue la mortalidad a los 28 días.
Resultados:
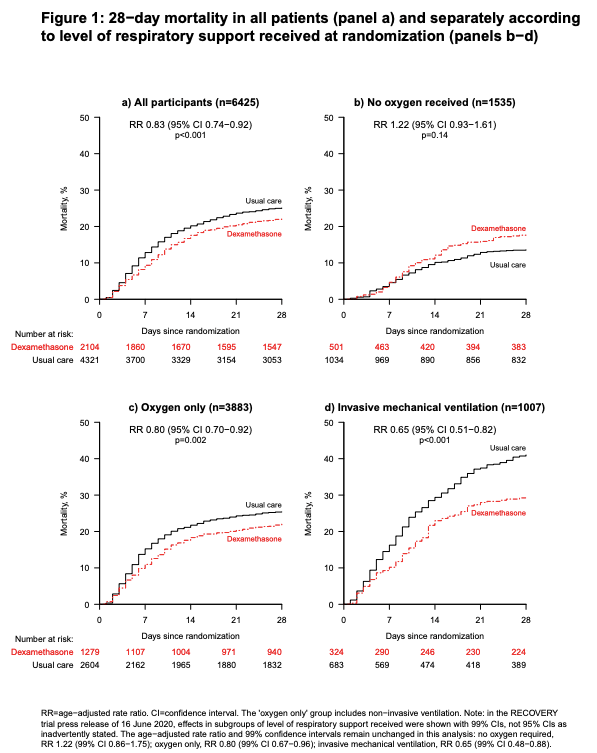
Se compararon 2104 pacientes asignados al azar para recibir dexametasona con 4321 pacientes asignados simultáneamente a la atención habitual. En general, 454 (21,6%) pacientes asignaron dexametasona y 1065 (24. 6%) los pacientes asignados a la atención habitual fallecieron dentro de los 28 días (índice de frecuencia ajustada por edad [RR] 0,83; intervalo de confianza [IC] del 95%: 0,74 a 0,92; P <0,001). Las reducciones de la tasa de mortalidad proporcional y absoluta variaron significativamente dependiendo del nivel de soporte respiratorio en la aleatorización (prueba de tendencia p <0.001): la dexametasona redujo las muertes en un tercio en pacientes que reciben ventilación mecánica invasiva (29.0% vs. 40.7%, RR 0.65 [ IC del 95%: 0,51 a 0,82]; p <0,001), en una quinta parte en pacientes que reciben oxígeno sin ventilación mecánica invasiva (21,5% frente a 25,0%, RR 0,80 [IC del 95%: 0,70 a 0,92]; p = 0,002), pero no redujo la mortalidad en pacientes que no recibieron soporte respiratorio en la aleatorización (17.0% vs. 13.2%, RR 1.22 [IC 95% 0.93 a 1.61]; p = 0.14).
Conclusiones:
En pacientes hospitalizados con COVID-19, la dexametasona redujo la mortalidad a los 28 días entre aquellos que recibieron ventilación mecánica invasiva u oxígeno al azar, pero no entre los pacientes que no recibieron soporte respiratorio.




https://www.medrxiv.org/content/10.1101/2020.06.22.20137273v1
Descubre más desde Medicina Cardiometabólica
Suscríbete y recibe las últimas entradas en tu correo electrónico.